Официальное опубликование правовых актов
ОФИЦИАЛЬНОЕ ОПУБЛИКОВАНИЕ
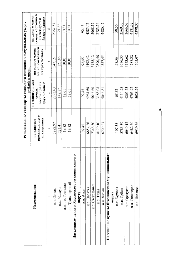
Постановление Правительства Магаданской области от 10.07.2023 № 489-пп
"О региональных стандартах стоимости жилищно-коммунальных услуг в 2023 году"
Номер опубликования: 4900202307110011
Дата опубликования: 11.07.2023
Страница №7 из 21:
Увеличить