Официальное опубликование правовых актов
ОФИЦИАЛЬНОЕ ОПУБЛИКОВАНИЕ
Постановление Правительства Магаданской области от 30.06.2023 № 452-пп
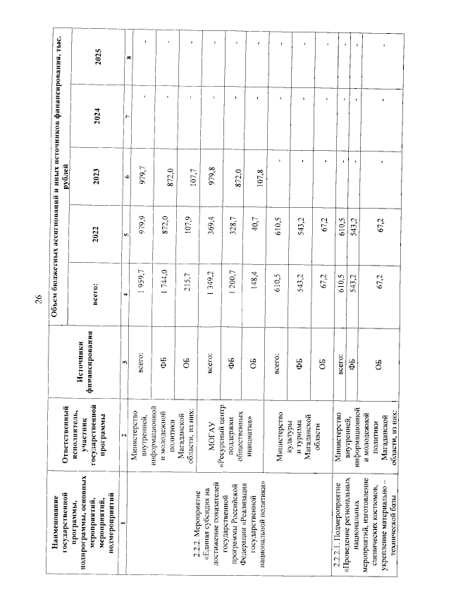
"О внесении изменений в постановление Правительства Магаданской области от 30 декабря 2021 г. № 1079-пп "Об утверждении государственной программы Магаданской области "Содействие развитию институтов гражданского общества и реализация государственной национальной политики в Магаданской области"
Номер опубликования: 4900202307030003
Дата опубликования: 03.07.2023
Страница №39 из 62:
Увеличить