Официальное опубликование правовых актов
ОФИЦИАЛЬНОЕ ОПУБЛИКОВАНИЕ
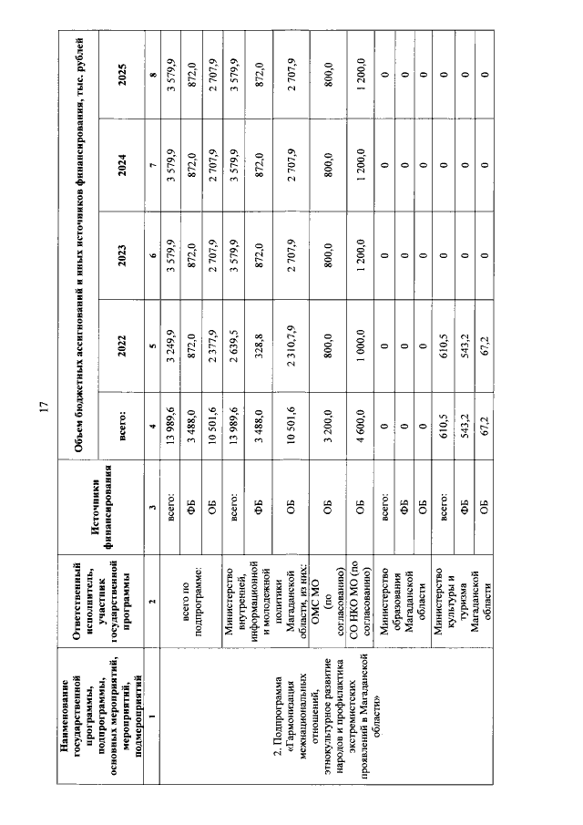
Постановление Правительства Магаданской области от 17.08.2022 № 681-пп
"О внесении изменений в постановление Правительства Магаданской области от 30 декабря 2021 г. № 1079-пп "Об утверждении государственной программы Магаданской области "Содействие развитию институтов гражданского общества и реализация государственной национальной политики в Магаданской области"
Номер опубликования: 4900202208220006
Дата опубликования: 22.08.2022
Страница №27 из 61:
Увеличить