Официальное опубликование правовых актов
ОФИЦИАЛЬНОЕ ОПУБЛИКОВАНИЕ
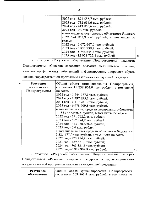
Постановление Правительства Магаданской области от 29.03.2022 № 264-пп
"О внесении изменений в постановление Правительства Магаданской области от 30 сентября 2021 г. № 751-пп "Об утверждении государственной программы Магаданской области "Развитие здравоохранения Магаданской области"
Номер опубликования: 4900202203310005
Дата опубликования: 31.03.2022
Страница №2 из 64:
Увеличить