Официальное опубликование правовых актов
ОФИЦИАЛЬНОЕ ОПУБЛИКОВАНИЕ
Постановление Правительства Магаданской области от 16.07.2021 № 534-пп
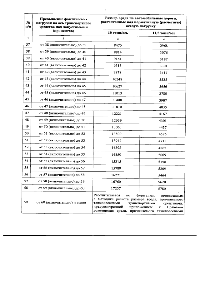
"Об утверждении показателей размера вреда, причиняемого тяжеловесными транспортными средствами при движении по автомобильным дорогам регионального или межмуниципального значения Магаданской области"
Номер опубликования: 4900202107200004
Дата опубликования: 20.07.2021
Страница №6 из 10:
Увеличить