Официальное опубликование правовых актов
ОФИЦИАЛЬНОЕ ОПУБЛИКОВАНИЕ
Постановление Правительства Магаданской области от 01.07.2021 № 498-пп
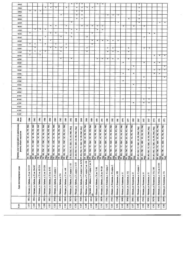
"О внесении изменений в постановление Правительства Магаданской области от 29 мая 2014 г. № 455-пп "Об утверждении региональной программы "Капитальный ремонт общего имущества многоквартирных домов, расположенных на территории Магаданской области" на период по 2044 год"
Номер опубликования: 4900202107020002
Дата опубликования: 02.07.2021
Страница №14 из 59:
Увеличить