Официальное опубликование правовых актов
ОФИЦИАЛЬНОЕ ОПУБЛИКОВАНИЕ
Постановление Правительства Магаданской области от 02.04.2021 № 253-пп
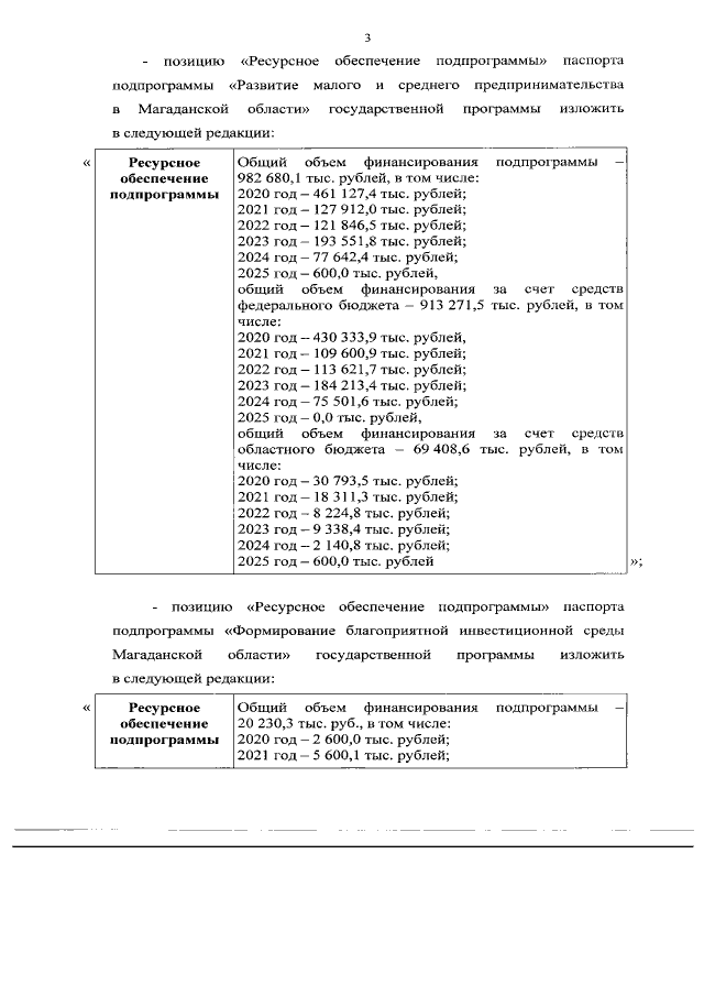
"О внесении изменений в постановление Правительства Магаданской области от 23 сентября 2019 г. № 634-пп "Об утверждении государственной программы Магаданской области "Экономическое развитие и инновационная экономика Магаданской области"
Номер опубликования: 4900202104060001
Дата опубликования: 06.04.2021
Страница №3 из 66:
Увеличить