Официальное опубликование правовых актов
ОФИЦИАЛЬНОЕ ОПУБЛИКОВАНИЕ
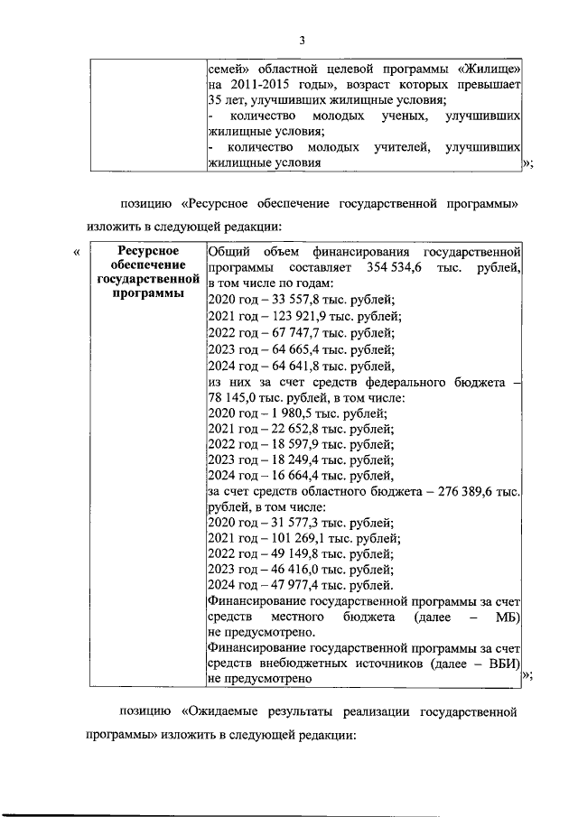
Постановление Правительства Магаданской области от 01.04.2021 № 246-пп
"О внесении изменений в постановление Правительства Магаданской области от 26 ноября 2019 г. № 769-пп "Об утверждении государственной программы Магаданской области "Молодежь Магаданской области"
Номер опубликования: 4900202104020003
Дата опубликования: 02.04.2021
Страница №3 из 52:
Увеличить