Официальное опубликование правовых актов
ОФИЦИАЛЬНОЕ ОПУБЛИКОВАНИЕ
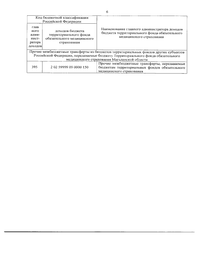
Закон Магаданской области от 29.12.2020 № 2563-ОЗ
"О бюджете Территориального фонда обязательного медицинского страхования Магаданской области на 2021 год и плановый период 2022 и 2023 годов"
Номер опубликования: 4900202012290010
Дата опубликования: 29.12.2020
Страница №10 из 25:
Увеличить