Официальное опубликование правовых актов
ОФИЦИАЛЬНОЕ ОПУБЛИКОВАНИЕ
Постановление Правительства Магаданской области от 26.06.2020 № 474-пп
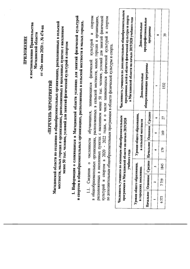
"О внесении изменений в постановление Правительства Магаданской области от 29 ноября 2019 г. № 792-пп "Об утверждении Перечня мероприятий по созданию в общеобразовательных организациях Магаданской области, расположенных в сельской местности, и организациях, расположенных в населенных пунктах с населением менее 50 тыс. человек, условий для занятий физической культурой и спортом в 2020-2022 годах"
Номер опубликования: 4900202007020010
Дата опубликования: 02.07.2020
Страница №2 из 19:
Увеличить