Официальное опубликование правовых актов
ОФИЦИАЛЬНОЕ ОПУБЛИКОВАНИЕ
Постановление Правительства Магаданской области от 24.04.2020 № 299-пп
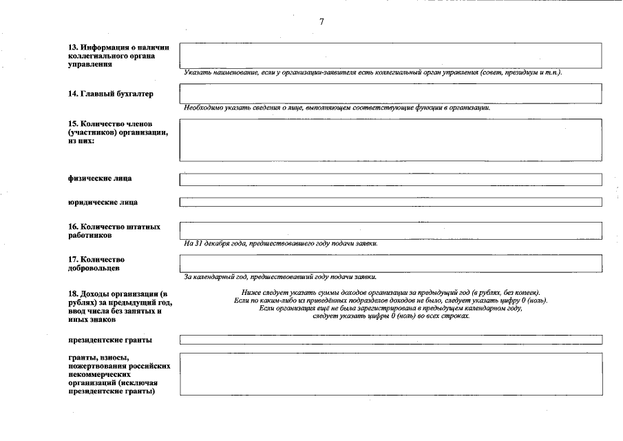
"О внесении изменений в постановление Правительства Магаданской области от 18 февраля 2016 г. № 97-пп "Об утверждении Положения о предоставлении субсидий из областного бюджета социально ориентированным некоммерческим организациям Магаданской области"
Номер опубликования: 4900202004290005
Дата опубликования: 29.04.2020
Страница №29 из 42:
Увеличить