Официальное опубликование правовых актов
ОФИЦИАЛЬНОЕ ОПУБЛИКОВАНИЕ
Постановление Правительства Магаданской области от 15.04.2020 № 271-пп
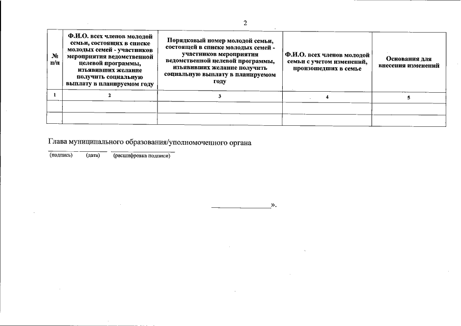
"О внесении изменений в постановление Правительства Магаданской области от 12 декабря 2018 г. № 849-пп "О мерах по реализации основного мероприятия "Обеспечение жильем молодых семей" государственной программы Российской Федерации "Обеспечение доступным и комфортным жильем и коммунальными услугами граждан Российской Федерации"
Номер опубликования: 4900202004170009
Дата опубликования: 17.04.2020
Страница №10 из 14:
Увеличить