Официальное опубликование правовых актов
ОФИЦИАЛЬНОЕ ОПУБЛИКОВАНИЕ
Постановление Правительства Магаданской области от 19.12.2019 № 873-пп
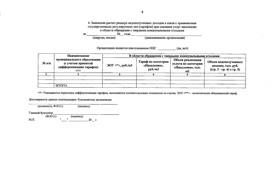
"О внесении изменений в постановление Правительства Магаданской области от 16 мая 2019 г. № 339-пп "Об утверждении Порядка предоставления из областного бюджета субсидий в целях возмещения недополученных доходов в связи с оказанием услуг теплоснабжения, централизованного электроснабжения, электроснабжения от дизельных электростанций, водоснабжения и водоотведения, в области обращения с твердыми коммунальными отходами и поставкой топлива населению и юридическим лицам, осуществляющим управление многоквартирными домами, при заключении договоров электроснабжения, для целей оказания услуг населению по тарифам, установленным уполномоченным органом исполнительной власти Магаданской области"
Номер опубликования: 4900201912250017
Дата опубликования: 25.12.2019
Страница №25 из 42:
Увеличить