Официальное опубликование правовых актов
ОФИЦИАЛЬНОЕ ОПУБЛИКОВАНИЕ
Постановление Правительства Магаданской области от 07.11.2019 № 740-пп
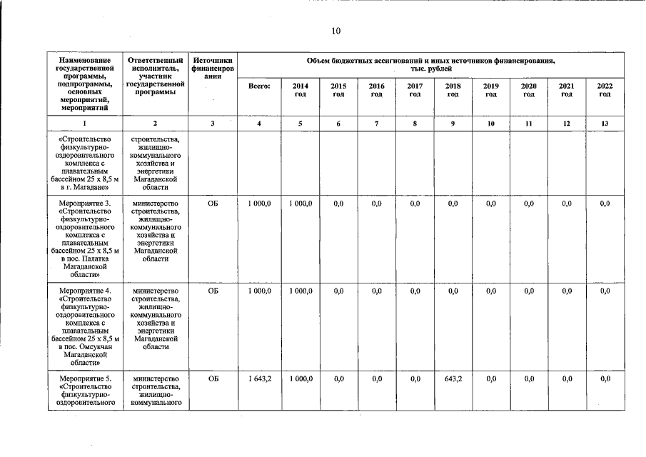
"О внесении изменений в постановление администрации Магаданской области от 14 ноября 2013 г. № 1126-па"Об утверждении государственной программы Магаданской области "Развитие физической культуры и спорта в Магаданской области"
Номер опубликования: 4900201911150011
Дата опубликования: 15.11.2019
Страница №16 из 54:
Увеличить