Официальное опубликование правовых актов
ОФИЦИАЛЬНОЕ ОПУБЛИКОВАНИЕ
Постановление Правительства Магаданской области от 13.08.2019 № 541-пп
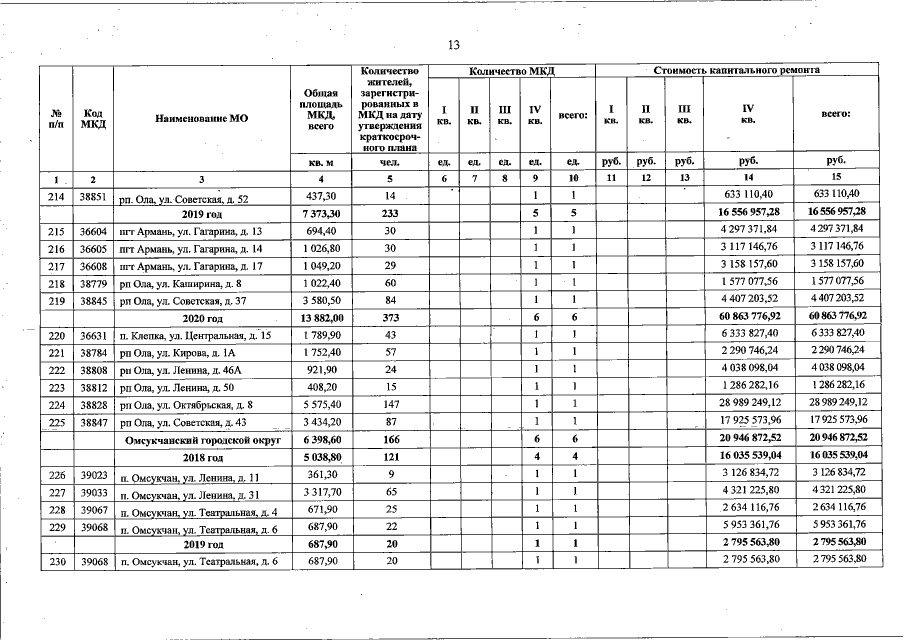
"О внесении изменений в постановление Правительства Магаданской области от 11 января 2018 г. № 3-пп "Об утверждении Краткосрочного плана реализации региональной программы "Капитальный ремонт общего имущества многоквартирных домов, расположенных на территории Магаданской области" на период по 2044 год" на 2018-2020 годы"
Номер опубликования: 4900201908150014
Дата опубликования: 15.08.2019
Страница №90 из 96:
Увеличить