Официальное опубликование правовых актов
ОФИЦИАЛЬНОЕ ОПУБЛИКОВАНИЕ
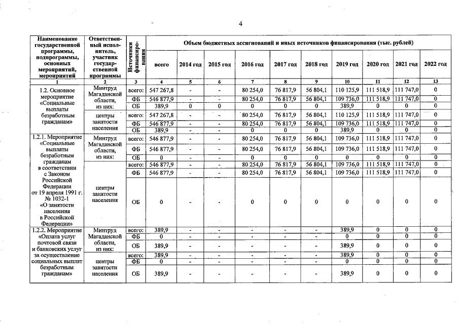
Постановление Правительства Магаданской области от 05.07.2019 № 480-пп
"О внесении изменений в постановление администрации Магаданской области от 31 октября 2013 г. № 1051-па "Об утверждении государственной программы Магаданской области "Трудовые ресурсы Магаданской области"
Номер опубликования: 4900201907110017
Дата опубликования: 11.07.2019
Страница №23 из 47:
Увеличить