Официальное опубликование правовых актов
ОФИЦИАЛЬНОЕ ОПУБЛИКОВАНИЕ
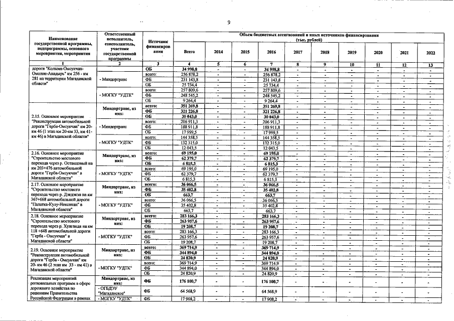
Постановление Правительства Магаданской области от 21.06.2019 № 448-пп "О внесении изменений в постановление администрации Магаданской области от 20 ноября 2013 г. № 1145-па "Об утверждении государственной программы Магаданской области "Развитие транспортной системы в Магаданской области" на 2014-2022 годы"
Номер опубликования: 4900201906250007
Дата опубликования: 25.06.2019
Страница №18 из 28:
Увеличить