Официальное опубликование правовых актов
ОФИЦИАЛЬНОЕ ОПУБЛИКОВАНИЕ
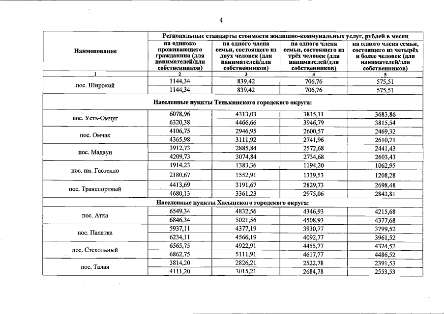
Постановление Правительства Магаданской области от 13.06.2019 № 413-пп
"О региональных стандартах стоимости жилищно-коммунальных услуг в 2019 году"
Номер опубликования: 4900201906170010
Дата опубликования: 17.06.2019
Страница №12 из 15:
Увеличить