Официальное опубликование правовых актов
ОФИЦИАЛЬНОЕ ОПУБЛИКОВАНИЕ
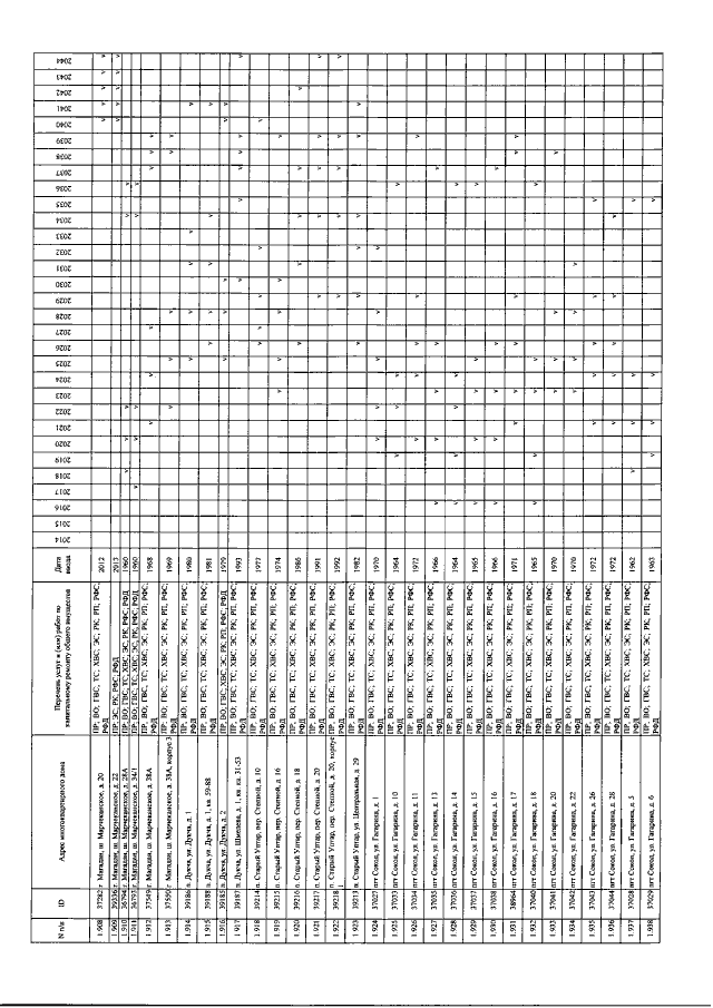
Постановление Правительства Магаданской области от 03.08.2018 № 527-пп
"О внесении изменений в постановление Правительства Магаданской области от 29 мая 2014 г. № 455-пп "Об утверждении региональной программы "Капитальный ремонт общего имущества многоквартирных домов, расположенных на территории Магаданской области" на период по 2044 год"
Номер опубликования: 4900201808060029
Дата опубликования: 06.08.2018
Страница №33 из 53:
Увеличить