Официальное опубликование правовых актов
ОФИЦИАЛЬНОЕ ОПУБЛИКОВАНИЕ
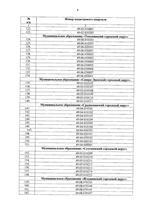
Постановление Правительства Магаданской области от 14.07.2017 № 652-пп
"Об организации проведения комплексных кадастровых работ на территории Магаданской области"
Номер опубликования: 4900201707180006
Дата опубликования: 18.07.2017
Страница №8 из 9:
Увеличить