Официальное опубликование правовых актов
ОФИЦИАЛЬНОЕ ОПУБЛИКОВАНИЕ
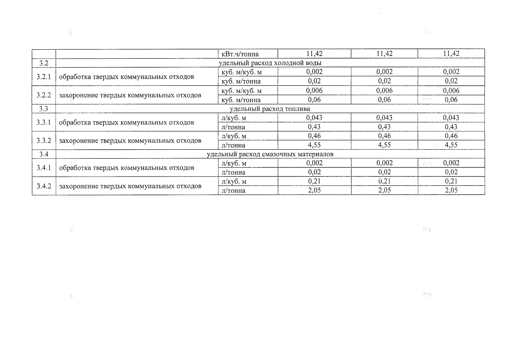
Постановление министерства энергетики и тарифов Липецкой области от 19.12.2025 № 53/9
"Об установлении предельных тарифов на захоронение (с учетом обработки) твердых коммунальных отходов и долгосрочных параметров регулирования оператора по обращению с твердыми коммунальными отходами ООО "Чистый город" (ИНН 4802009478) для регионального оператора по обращению с твердыми коммунальными отходами ООО "Чистый город" (ИНН 4802009478), оказывающего услуги на территории зоны Грязинская Липецкой области (Грязинский муниципальный округ, Добринский муниципальный округ, Усманский муниципальный округ Липецкой области), с 1 января 2026 года по 31 декабря 2028 года"
(Зарегистрирован 22.12.2025 № ГР-454)
Номер опубликования: 4801202512230013
Дата опубликования: 23.12.2025
Страница №9 из 10:
Увеличить