Официальное опубликование правовых актов
ОФИЦИАЛЬНОЕ ОПУБЛИКОВАНИЕ
Постановление министерства энергетики и тарифов Липецкой области от 19.12.2025 № 53/13
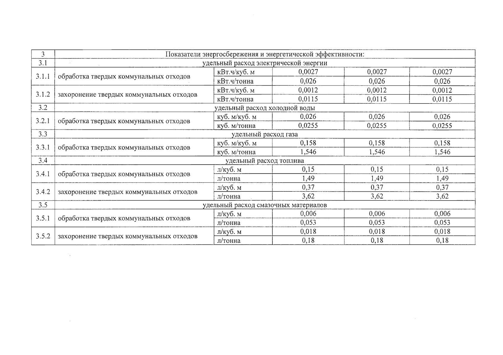
"Об установлении предельных тарифов на захоронение (с учетом обработки) твердых коммунальных отходов и долгосрочных параметров регулирования оператора по обращению с твердыми коммунальными отходами ООО "СтройСельхозГарант" (ИНН 4813010267) для регионального оператора по обращению с твердыми коммунальными отходами АО "ЭкоПром-Липецк" (ИНН 4825037859), оказывающего услуги на территории зоны Центральная Липецкой области (городской округ город Липецк, Задонский муниципальный округ, Липецкий муниципальный округ, Хлевенский муниципальный округ Липецкой области), с 1 января 2026 года по 31 декабря 2028 года"
(Зарегистрирован 22.12.2025 № ГР-458)
Номер опубликования: 4801202512230003
Дата опубликования: 23.12.2025
Страница №8 из 9:
Увеличить