Постановление министерства энергетики и тарифов Липецкой области от 17.12.2025 № 52/2
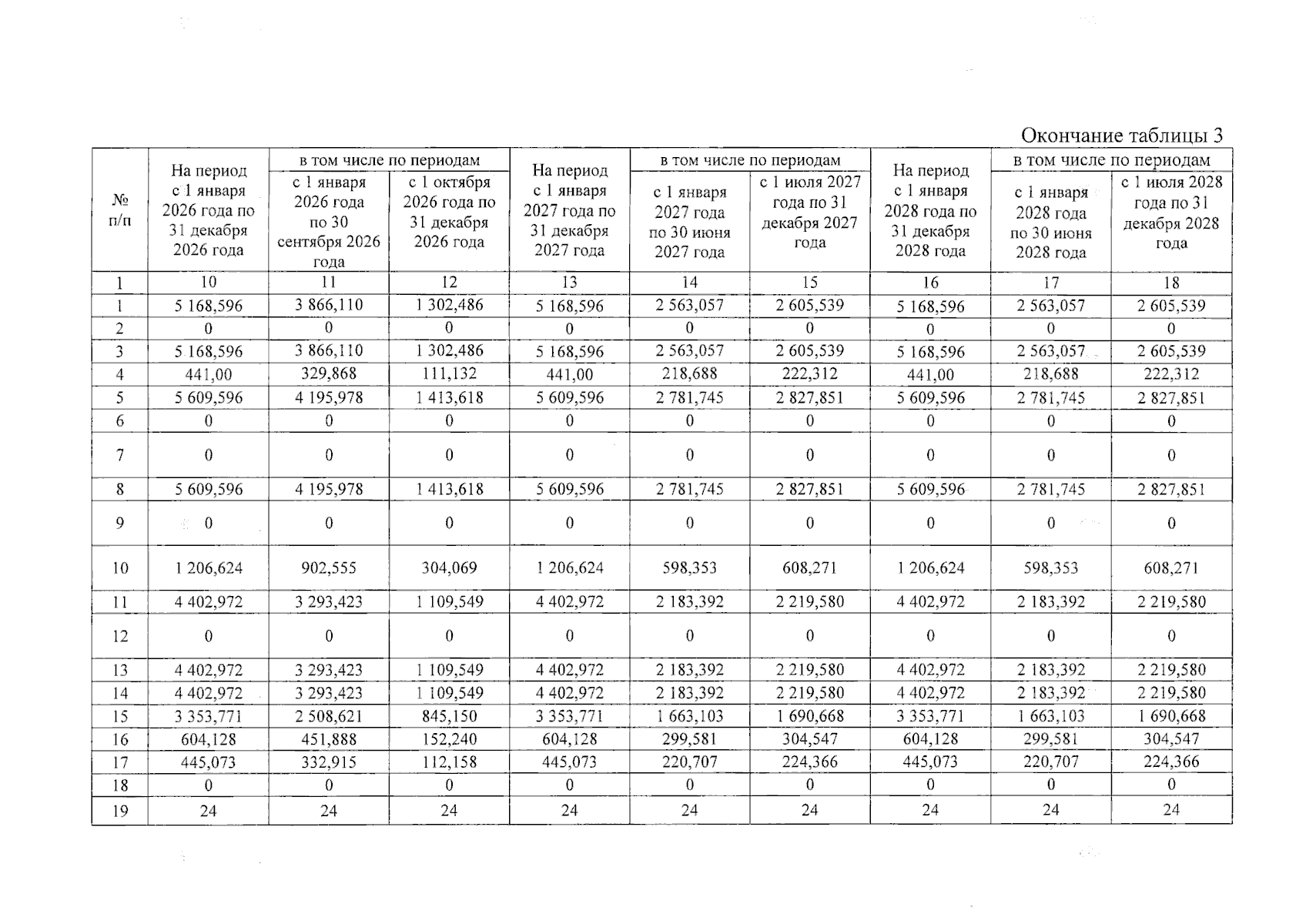
"О внесении изменений в постановление управления энергетики и тарифов Липецкой области от 15 декабря 2023 года № 65/25 "О тарифах на питьевую воду и долгосрочных параметрах регулирования ОГУП "Елецводоканал" (ИНН 4821002037) на территории городского округа город Елец на 2024-2028 годы"
(Зарегистрирован 18.12.2025 № ГР-392)
"О внесении изменений в постановление управления энергетики и тарифов Липецкой области от 15 декабря 2023 года № 65/25 "О тарифах на питьевую воду и долгосрочных параметрах регулирования ОГУП "Елецводоканал" (ИНН 4821002037) на территории городского округа город Елец на 2024-2028 годы"
(Зарегистрирован 18.12.2025 № ГР-392)
Номер опубликования: 4801202512180001
Дата опубликования:
18.12.2025
