Официальное опубликование правовых актов
ОФИЦИАЛЬНОЕ ОПУБЛИКОВАНИЕ
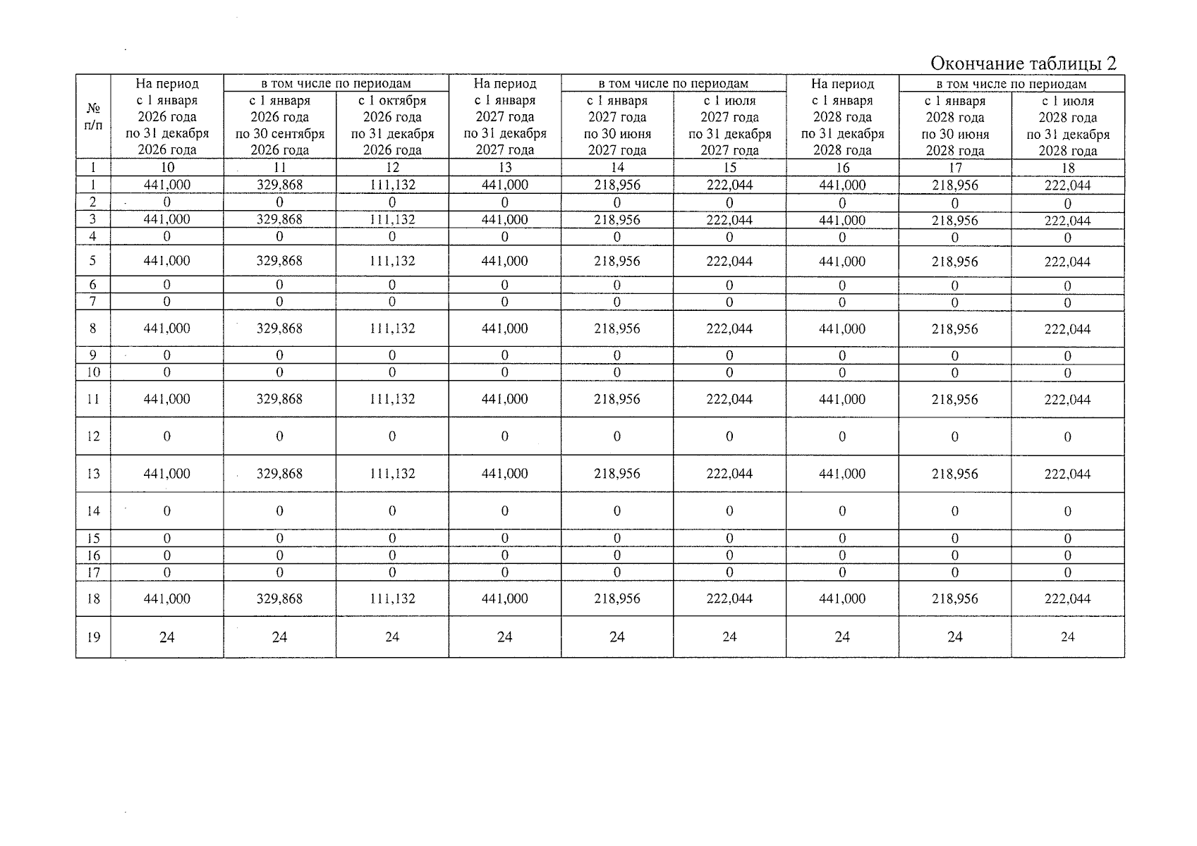
Постановление министерства энергетики и тарифов Липецкой области от 16.12.2025 № 51/8
"О внесении изменений в постановление управления энергетики и тарифов Липецкой области от 15 декабря 2023 года № 65/35 "О тарифах на питьевую воду и долгосрочных параметрах регулирования ОАО "Российские железные дороги" (ИНН 7708503727) на территории Липецкой области на 2024-2028 годы"
(Зарегистрирован 17.12.2025 № ГР-382)
Номер опубликования: 4801202512170051
Дата опубликования: 17.12.2025
Страница №13 из 27:
Увеличить