Официальное опубликование правовых актов
ОФИЦИАЛЬНОЕ ОПУБЛИКОВАНИЕ
Постановление министерства энергетики и тарифов Липецкой области от 16.12.2025 № 51/11
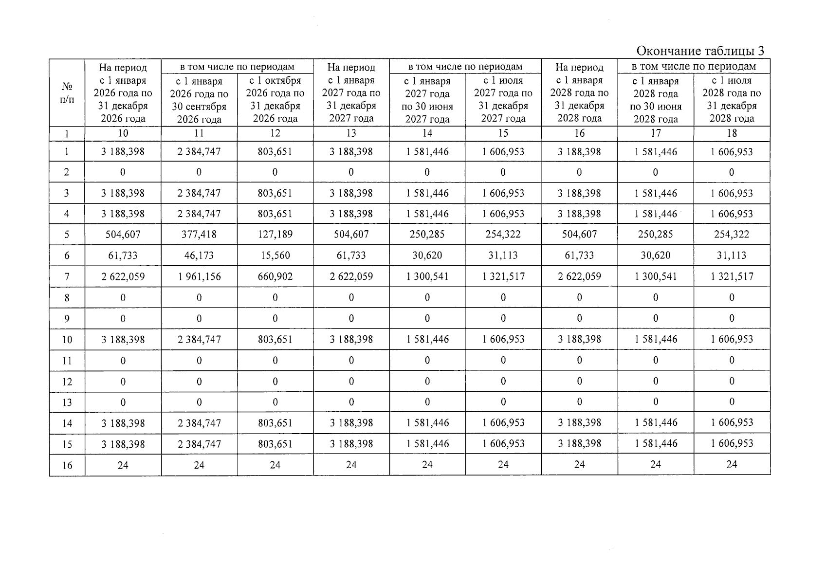
"О внесении изменений в постановление управления энергетики и тарифов Липецкой области от 14 декабря 2023 года № 64/14 "О тарифах на водоотведение и долгосрочных параметрах регулирования МУП "Данковский водоканал" (ИНН 4803010370) на 2024-2028 годы"
(Зарегистрирован 16.12.2025 № ГР-340)
Номер опубликования: 4801202512160041
Дата опубликования: 16.12.2025
Страница №5 из 17:
Увеличить