Официальное опубликование правовых актов
ОФИЦИАЛЬНОЕ ОПУБЛИКОВАНИЕ
Постановление министерства энергетики и тарифов Липецкой области от 11.12.2025 № 48/6
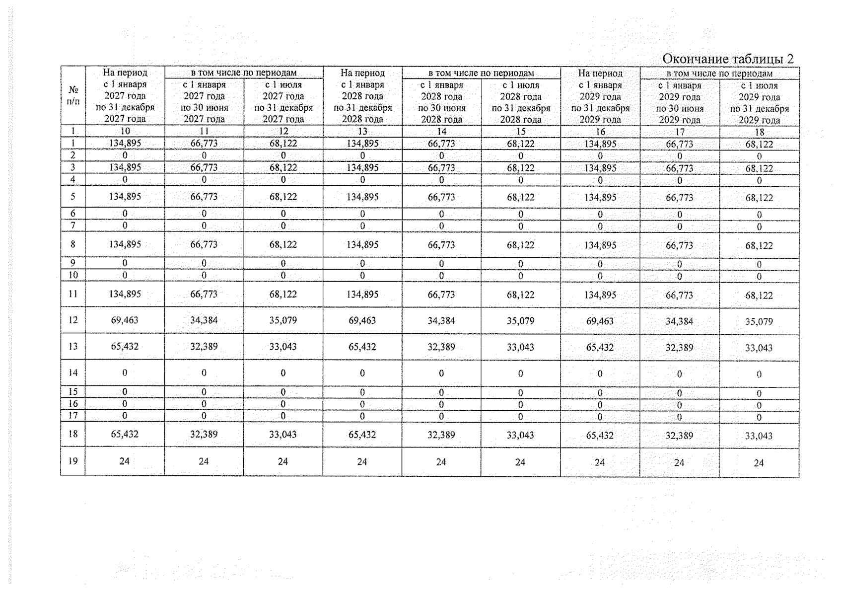
"О внесении изменений в постановление управления энергетики и тарифов Липецкой области от 13 декабря 2024 года № 63/6 "О тарифах на питьевую воду и долгосрочных параметрах регулирования ОГБУ "Задонский психоневрологический интернат" (ИНН 4808002711) на 2025 - 2029 годы"
(Зарегистрирован 11.12.2025 № ГР-296)
Номер опубликования: 4801202512160030
Дата опубликования: 16.12.2025
Страница №5 из 10:
Увеличить