Официальное опубликование правовых актов
ОФИЦИАЛЬНОЕ ОПУБЛИКОВАНИЕ
Постановление министерства энергетики и тарифов Липецкой области от 15.12.2025 № 50/10
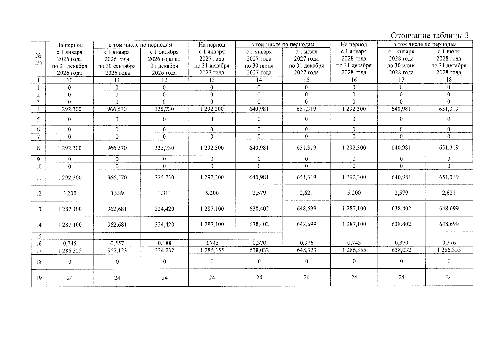
"О внесении изменений в постановление управления энергетики и тарифов Липецкой области от 15 декабря 2023 года № 65/36 "О тарифах на питьевую воду и долгосрочных параметрах регулирования АО "ОЭЗ ППТ "Липецк" (ИНН 4826052440) на 2024-2028 годы"
(Зарегистрирован 15.12.2025 № ГР-324)
Номер опубликования: 4801202512160019
Дата опубликования: 16.12.2025
Страница №5 из 10:
Увеличить