Официальное опубликование правовых актов
ОФИЦИАЛЬНОЕ ОПУБЛИКОВАНИЕ
Постановление министерства энергетики и тарифов Липецкой области от 15.12.2025 № 50/4
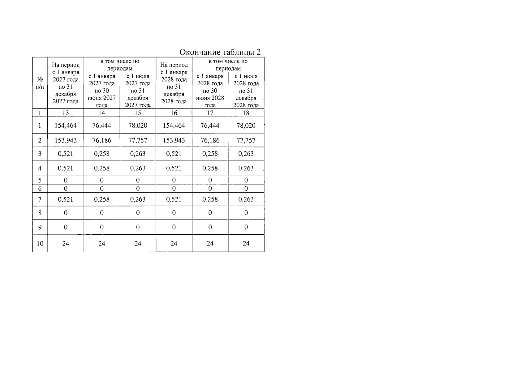
"О внесении изменений в постановление управления энергетики и тарифов Липецкой области от 15 декабря 2023 года № 65/33 "О тарифах на транспортировку хозяйственно-бытовых сточных вод и долгосрочных параметрах регулирования ООО "ЛТК "Свободный сокол" (ИНН 4825083742) на 2024-2028 годы"
(Зарегистрирован 15.12.2025 № ГР-334)
Номер опубликования: 4801202512160010
Дата опубликования: 16.12.2025
Страница №5 из 10:
Увеличить