Официальное опубликование правовых актов
ОФИЦИАЛЬНОЕ ОПУБЛИКОВАНИЕ
Постановление министерства энергетики и тарифов Липецкой области от 15.12.2025 № 50/11
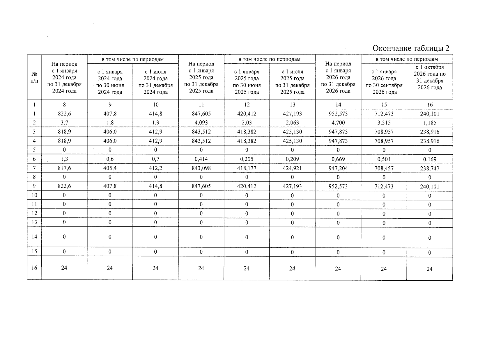
"О внесении изменений в постановление управления энергетики и тарифов Липецкой области от 17 декабря 2021 года № 46/19 "О тарифах на водоотведение и долгосрочных параметрах регулирования АО "ОЭЗ ППТ "Липецк" на 2022-2026 годы"
(Зарегистрирован 15.12.2025 № ГР-326)
Номер опубликования: 4801202512160004
Дата опубликования: 16.12.2025
Страница №4 из 9:
Увеличить