Официальное опубликование правовых актов
ОФИЦИАЛЬНОЕ ОПУБЛИКОВАНИЕ
Постановление министерства энергетики и тарифов Липецкой области от 11.12.2025 № 48/1
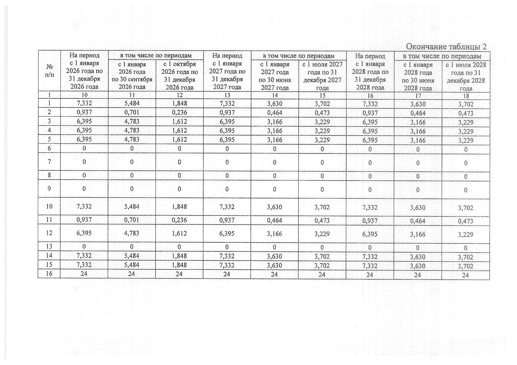
"О внесении изменений в постановление управления энергетики и тарифов Липецкой области от 13 декабря 2023 года № 63/2 "О тарифах на водоотведение и долгосрочных параметрах регулирования АО "Транснефть-Дружба" (ИНН 3235002178) (филиал "Мичуринское районное управление" НПС "Лубна") на территории Липецкой области на 2024-2028 годы"
(Зарегистрирован 11.12.2025 № ГР-291)
Номер опубликования: 4801202512120009
Дата опубликования: 12.12.2025
Страница №5 из 10:
Увеличить