Официальное опубликование правовых актов
ОФИЦИАЛЬНОЕ ОПУБЛИКОВАНИЕ
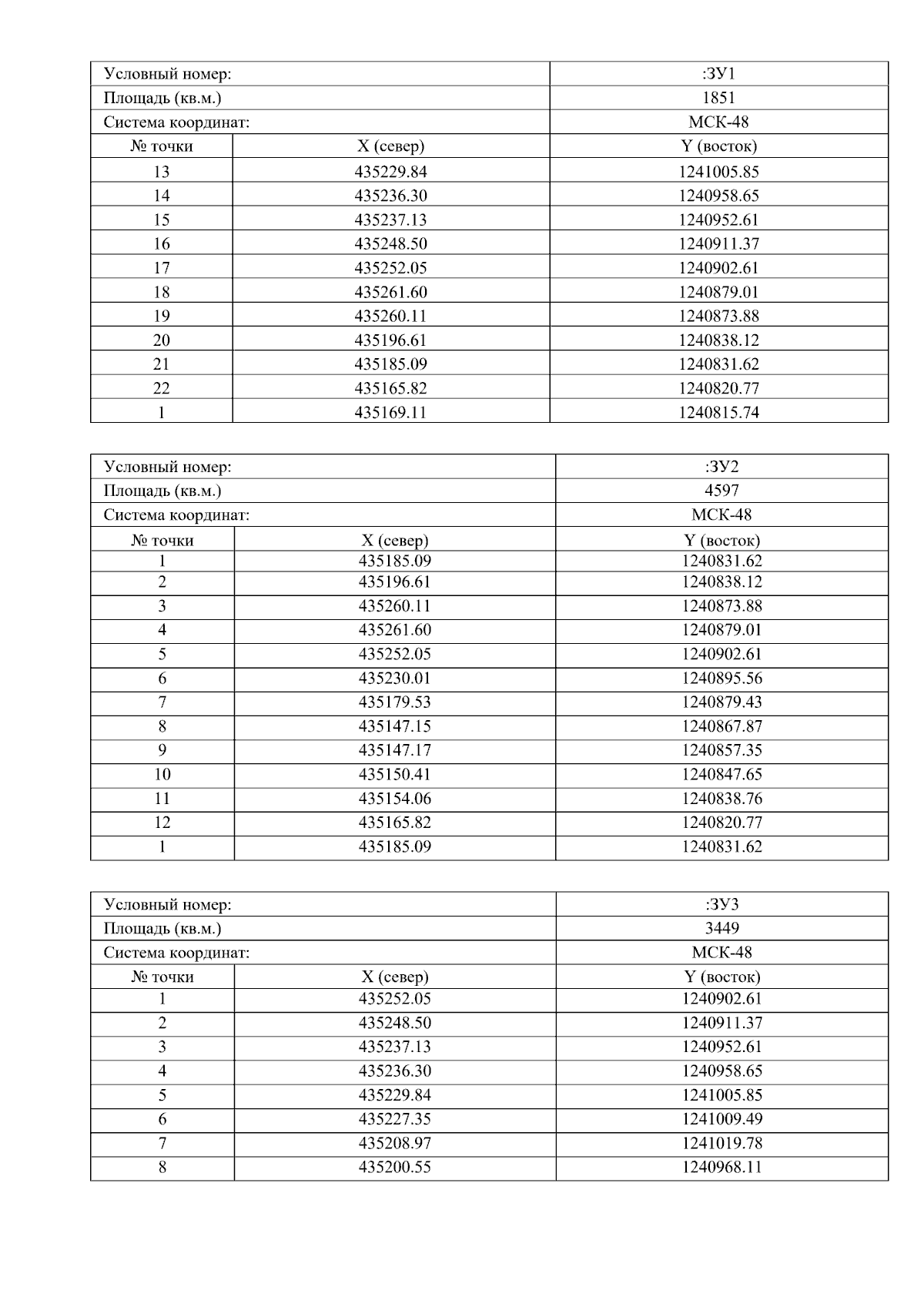
Приказ министерства строительства и архитектуры Липецкой области от 08.12.2025 № 514
"Об утверждении документации по планировке территории (проект планировки территории, проект межевания территории в составе проекта планировки территории) в районе улицы Мичурина в селе Становое Становлянского муниципального округа"
Номер опубликования: 4801202512110044
Дата опубликования: 11.12.2025
Страница №27 из 32:
Увеличить