Официальное опубликование правовых актов
ОФИЦИАЛЬНОЕ ОПУБЛИКОВАНИЕ
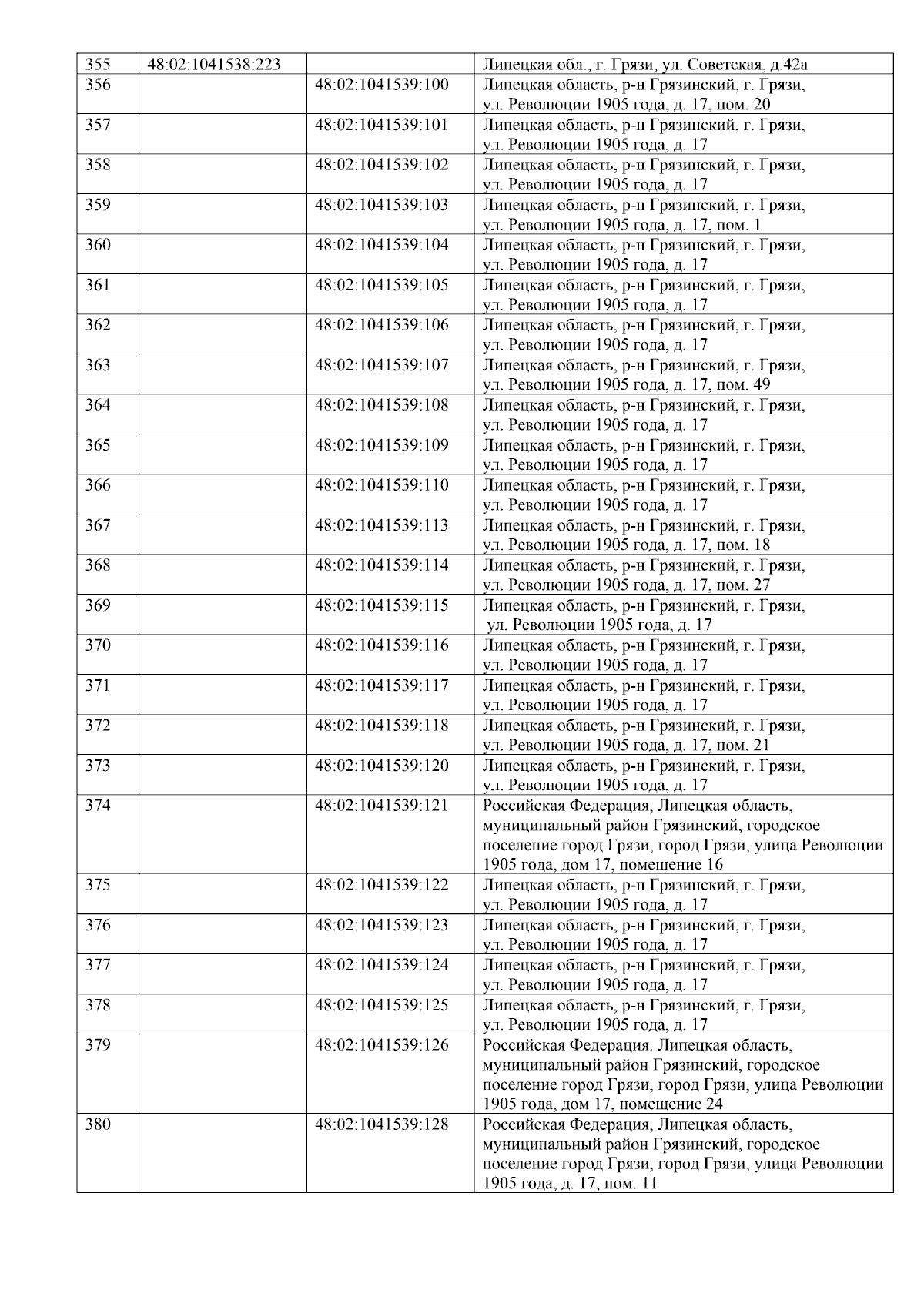
Приказ министерства имущественных и земельных отношений Липецкой области от 20.11.2025 № 46-Н
"Об утверждении перечня объектов недвижимого имущества, в отношении которых налоговая база определяется как кадастровая стоимость на 2026 год"
(Зарегистрирован 20.11.2025 № ГР-229)
Номер опубликования: 4801202511210010
Дата опубликования: 21.11.2025
Страница №18 из 520:
Увеличить