Официальное опубликование правовых актов
ОФИЦИАЛЬНОЕ ОПУБЛИКОВАНИЕ
Постановление министерства энергетики и тарифов Липецкой области от 21.10.2025 № 62-НПА
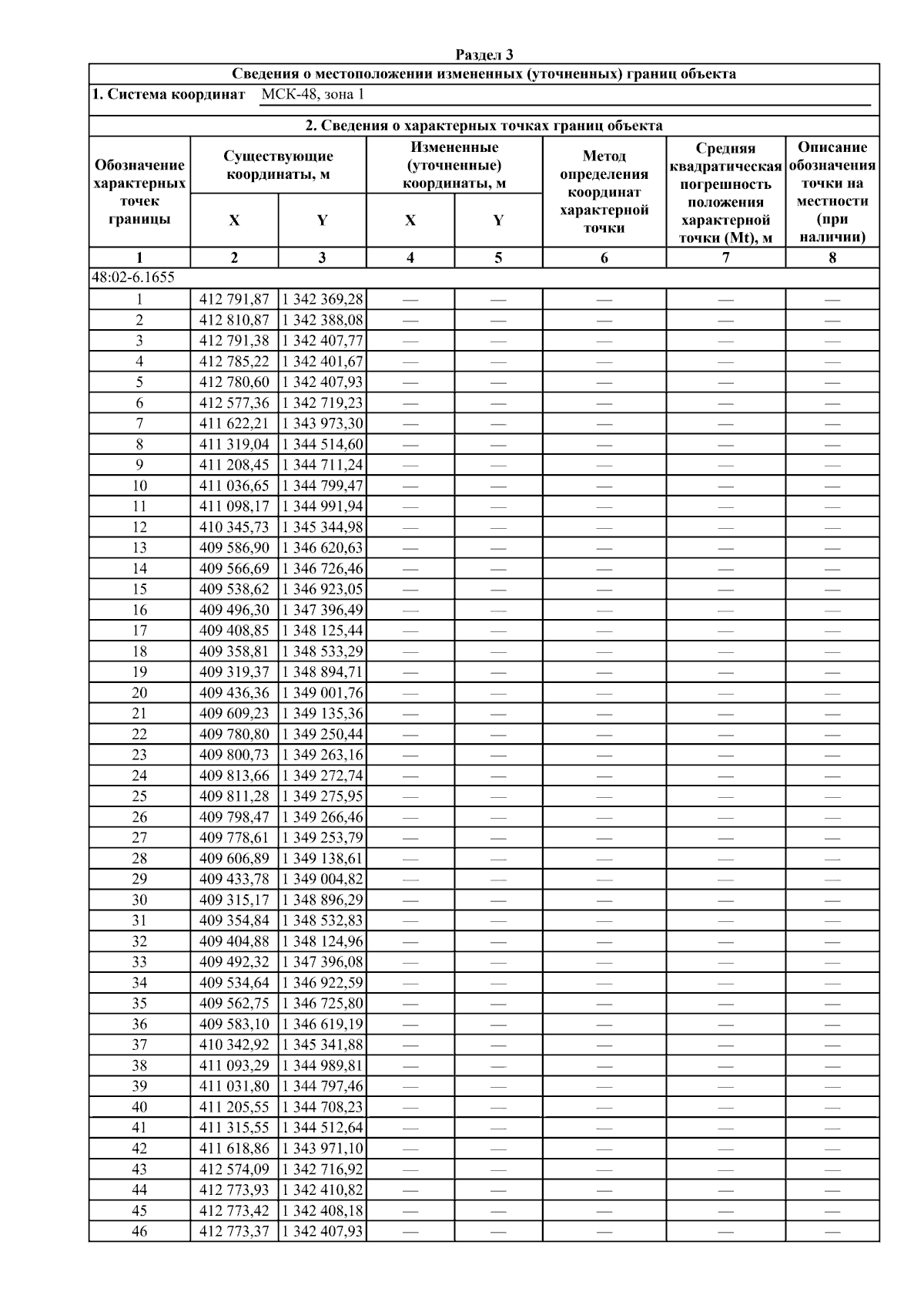
"О внесении изменения в постановление управления энергетики и тарифов Липецкой области от 7 июля 2017 года № 23 "Об утверждении границ охранной зоны газораспределительной сети"
Номер опубликования: 4801202510230004
Дата опубликования: 23.10.2025
Страница №5 из 30:
Увеличить