Официальное опубликование правовых актов
ОФИЦИАЛЬНОЕ ОПУБЛИКОВАНИЕ
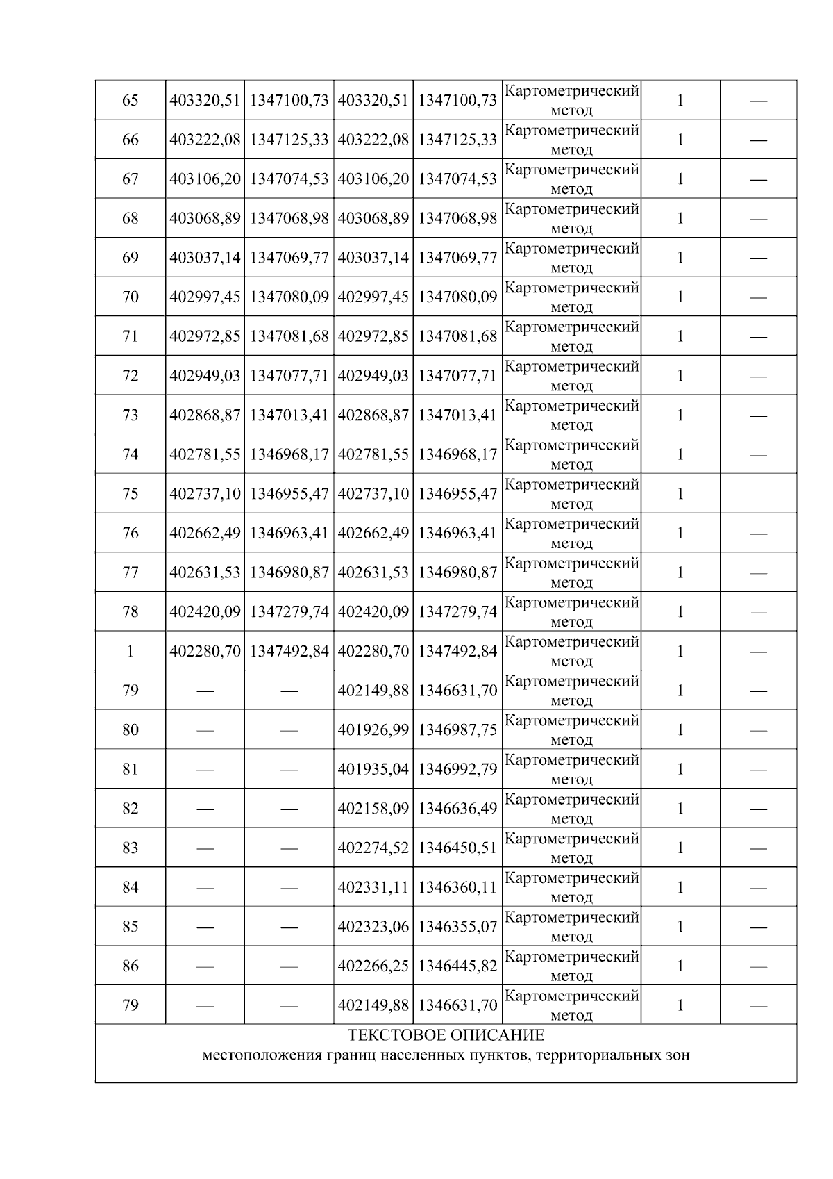
Приказ министерства строительства и архитектуры Липецкой области от 15.08.2025 № 364
"О внесении изменений в приказ управления строительства и архитектуры Липецкой области от 8 ноября 2022 года № 478 "Об утверждении правил землепользования и застройки городского поселения город Грязи Грязинского муниципального района Липецкой области"
Номер опубликования: 4801202508190007
Дата опубликования: 19.08.2025
Страница №600 из 633:
Увеличить