Официальное опубликование правовых актов
ОФИЦИАЛЬНОЕ ОПУБЛИКОВАНИЕ
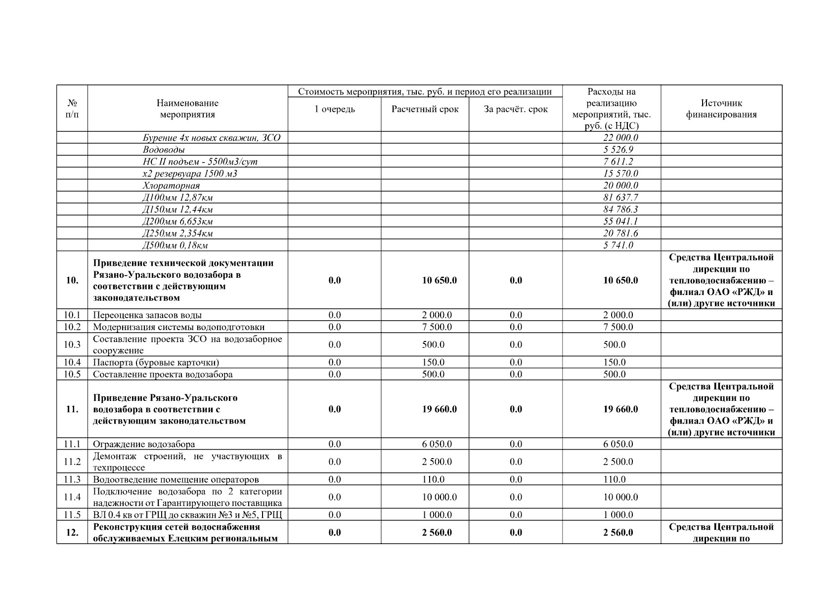
Приказ министерства жилищно-коммунального хозяйства Липецкой области от 14.08.2025 № 01-03/884
"О внесении изменений в приказ управления жилищно-коммунального хозяйства Липецкой области от 24 октября 2023 года № 01-03/790 "Об утверждении схем водоснабжения и водоотведения городского округа город Елец Липецкой области"
Номер опубликования: 4801202508180011
Дата опубликования: 18.08.2025
Страница №18 из 20:
Увеличить