Официальное опубликование правовых актов
ОФИЦИАЛЬНОЕ ОПУБЛИКОВАНИЕ
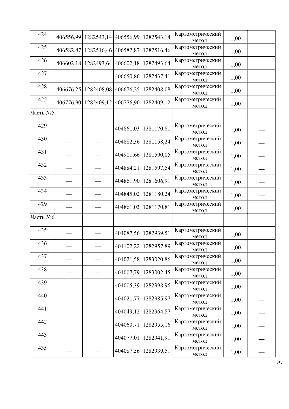
Приказ министерства строительства и архитектуры Липецкой области от 18.07.2025 № 313
"О внесении изменений в приказ управления строительства и архитектуры Липецкой области от 24 октября 2023 года № 314 "О принятии решения об утверждении генерального плана сельского поселения Кашарский сельсовет Задонского муниципального района Липецкой области"
Номер опубликования: 4801202507210003
Дата опубликования: 21.07.2025
Страница №27 из 31:
Увеличить