Приказ управления строительства и архитектуры Липецкой области от 15.01.2025 № 6
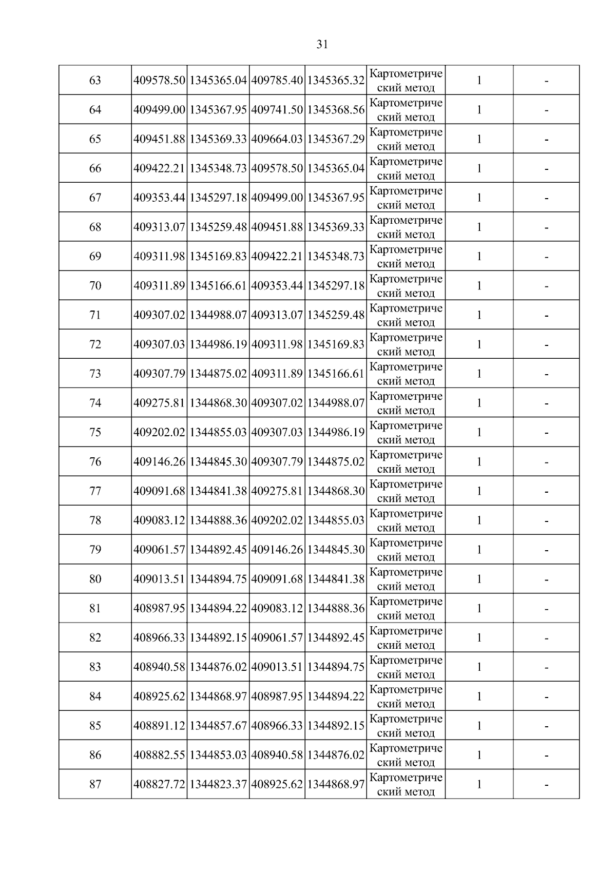
"О внесении изменений в приказ управления строительства и архитектуры Липецкой области от 14 апреля 2023 года № 98 "О принятии решения об утверждении генерального плана сельского поселения Большесамовецкий сельсовет Грязинского муниципального района Липецкой области"
"О внесении изменений в приказ управления строительства и архитектуры Липецкой области от 14 апреля 2023 года № 98 "О принятии решения об утверждении генерального плана сельского поселения Большесамовецкий сельсовет Грязинского муниципального района Липецкой области"
Номер опубликования: 4801202501170002
Дата опубликования:
17.01.2025
