Официальное опубликование правовых актов
ОФИЦИАЛЬНОЕ ОПУБЛИКОВАНИЕ
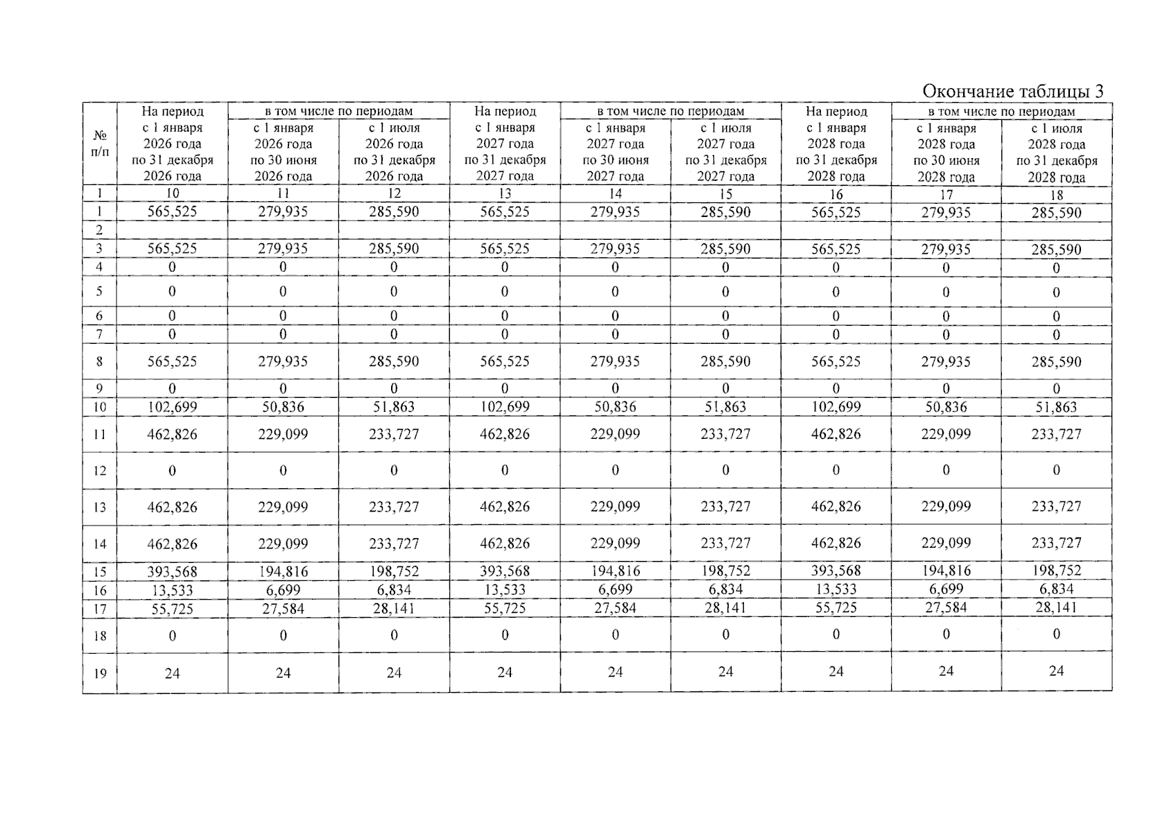
Постановление управления энергетики и тарифов Липецкой области от 12.12.2024 № 62/22
"О внесении изменений в постановление управления энергетики и тарифов Липецкой области от 14 декабря 2023 года № 64/21 "О тарифах на питьевую воду и долгосрочных параметрах регулирования МУП "Долгоруковский водоканал" (ИНН 4806016645) на 2024-2028 годы"
(Зарегистрирован 16.12.2024 № ГР-329)
Номер опубликования: 4801202412170038
Дата опубликования: 17.12.2024
Страница №6 из 11:
Увеличить