Официальное опубликование правовых актов
ОФИЦИАЛЬНОЕ ОПУБЛИКОВАНИЕ
Постановление управления энергетики и тарифов Липецкой области от 12.12.2024 № 62/9
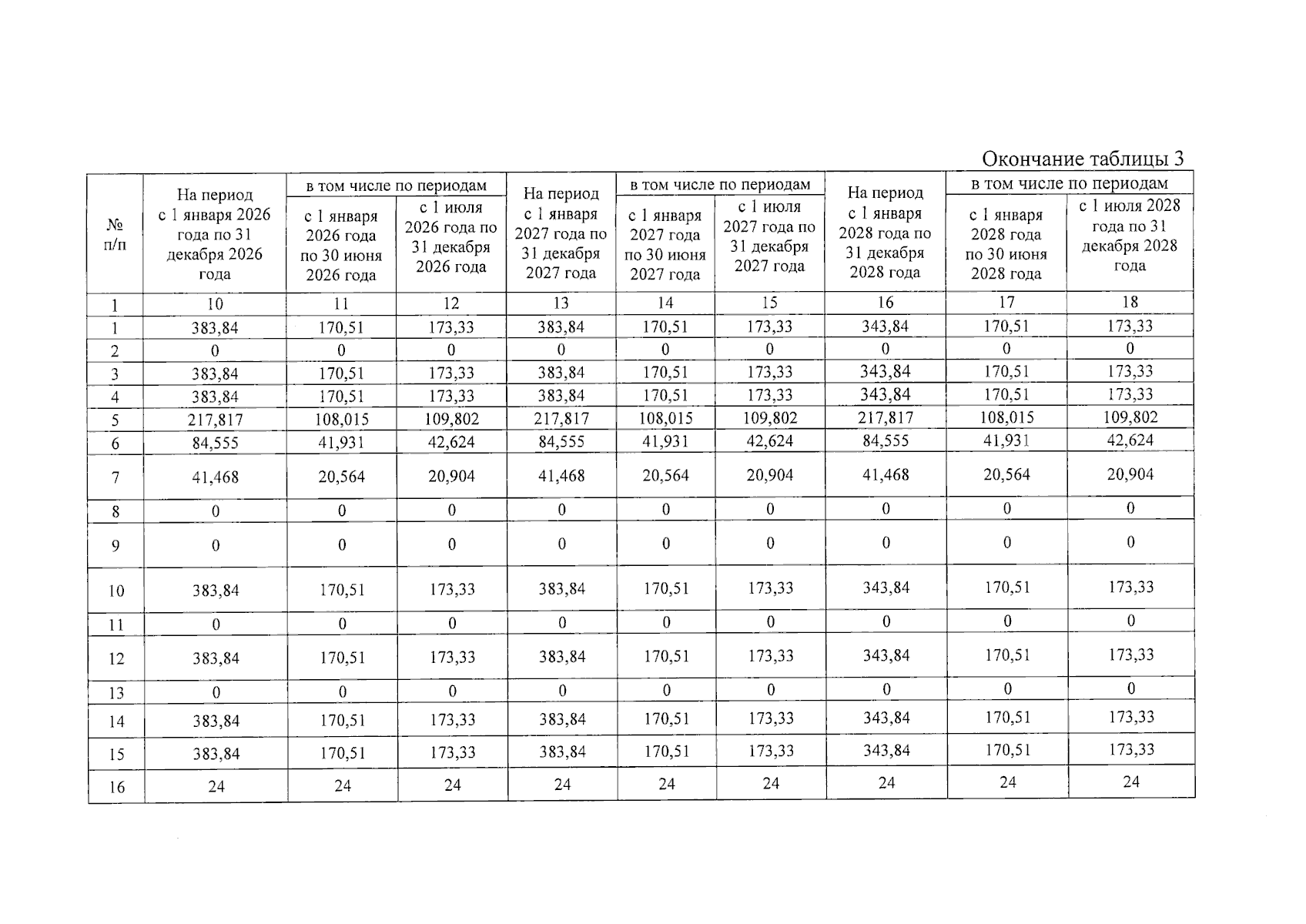
"О внесении изменений в постановление управления энергетики и тарифов Липецкой области от 14 декабря 2023 года № 64/5 "О тарифах на водоотведение и долгосрочных параметрах регулирования МУП "Усманский водоканал" (ИНН 4816024892) на территории Усманского муниципального района, за исключением территории военного городка № 4 села Пригородка сельского поселения Пригородный сельсовет, на 2024-2028 годы"
(Зарегистрирован 16.12.2024 № ГР-313)
Номер опубликования: 4801202412170022
Дата опубликования: 17.12.2024
Страница №6 из 18:
Увеличить