Официальное опубликование правовых актов
ОФИЦИАЛЬНОЕ ОПУБЛИКОВАНИЕ
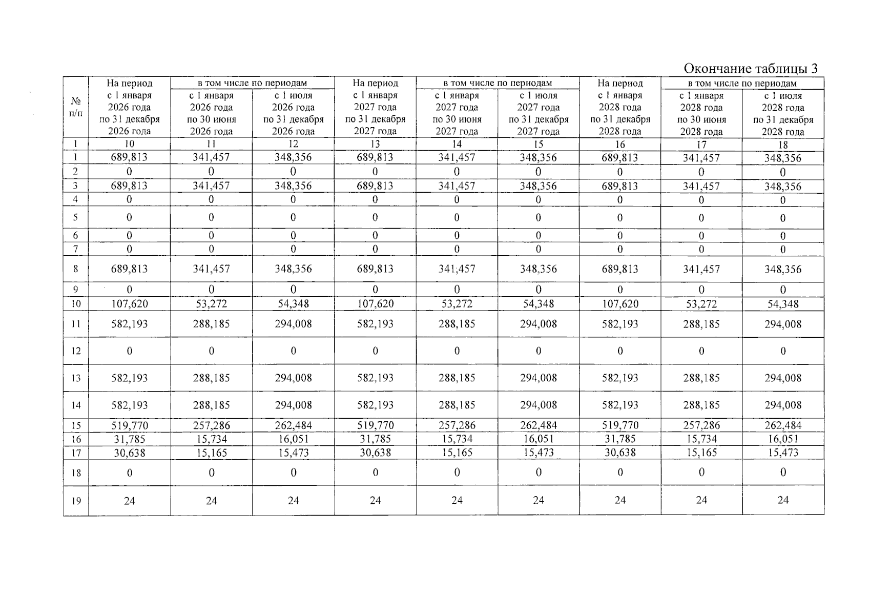
Постановление управления энергетики и тарифов Липецкой области от 12.12.2024 № 62/26
"О внесении изменений в постановление управления энергетики и тарифов Липецкой области от 14 декабря 2023 года № 64/24 "О тарифах на питьевую воду и долгосрочных параметрах регулирования МУП "Лев-Толстовский водоканал" (ИНН 4812005480) на 2024-2028 годы"
(Зарегистрирован 16.12.2024 № ГР-334)
Номер опубликования: 4801202412170011
Дата опубликования: 17.12.2024
Страница №6 из 11:
Увеличить