Официальное опубликование правовых актов
ОФИЦИАЛЬНОЕ ОПУБЛИКОВАНИЕ
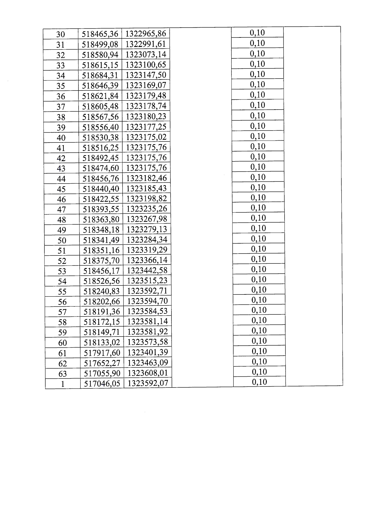
Приказ управления по охране объектов культурного наследия Липецкой области от 15.02.2024 № 63
"О включении выявленного объекта культурного наследия в единый государственный реестр объектов культурного наследия (памятников истории и культуры) народов Российской Федерации в качестве объекта культурного наследия регионального значения, об утверждении границ и режима использования его территории"
Номер опубликования: 4801202402220002
Дата опубликования: 22.02.2024
Страница №5 из 32:
Увеличить