Официальное опубликование правовых актов
ОФИЦИАЛЬНОЕ ОПУБЛИКОВАНИЕ
Приказ управления строительства и архитектуры Липецкой области от 09.01.2024 № 2
"Об утверждении проекта межевания территории в районе улицы Марины Расковой в городском поселении город Грязи Грязинского муниципального района Липецкой области"
Номер опубликования: 4801202401150003
Дата опубликования: 15.01.2024
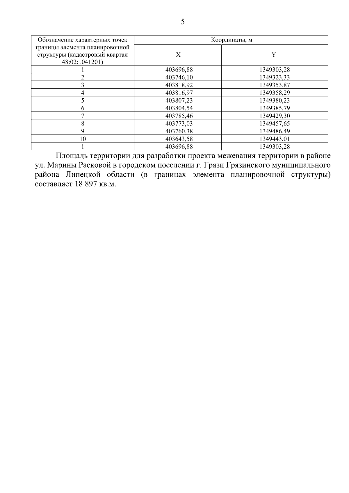
Страница №7 из 8: