Официальное опубликование правовых актов
ОФИЦИАЛЬНОЕ ОПУБЛИКОВАНИЕ
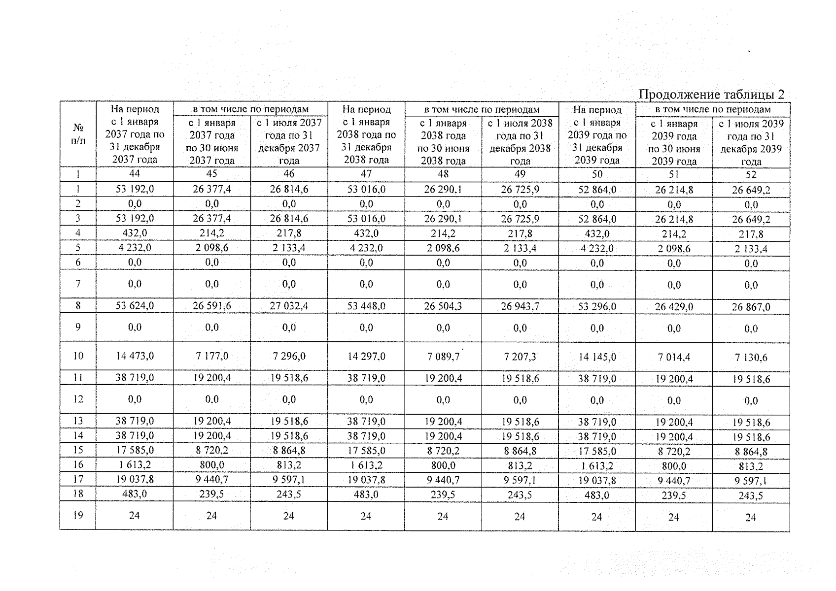
Постановление управления энергетики и тарифов Липецкой области от 13.12.2023 № 63/10
"О внесении изменений в постановление управления энергетики и тарифов Липецкой области от 24 ноября 2022 года № 53/14 "О тарифах на питьевую воду, поставляемую ООО "РВК-Липецк" (ИНН 7730263904), на период с 1 января 2023 года по 31 декабря 2042 года и о введении их в действие с 1 декабря 2022 года"
(Зарегистрирован 14.12.2023 № ГР-359)
Номер опубликования: 4801202312220012
Дата опубликования: 22.12.2023
Страница №8 из 21:
Увеличить