Официальное опубликование правовых актов
ОФИЦИАЛЬНОЕ ОПУБЛИКОВАНИЕ
Постановление управления энергетики и тарифов Липецкой области от 13.12.2023 № 63/11
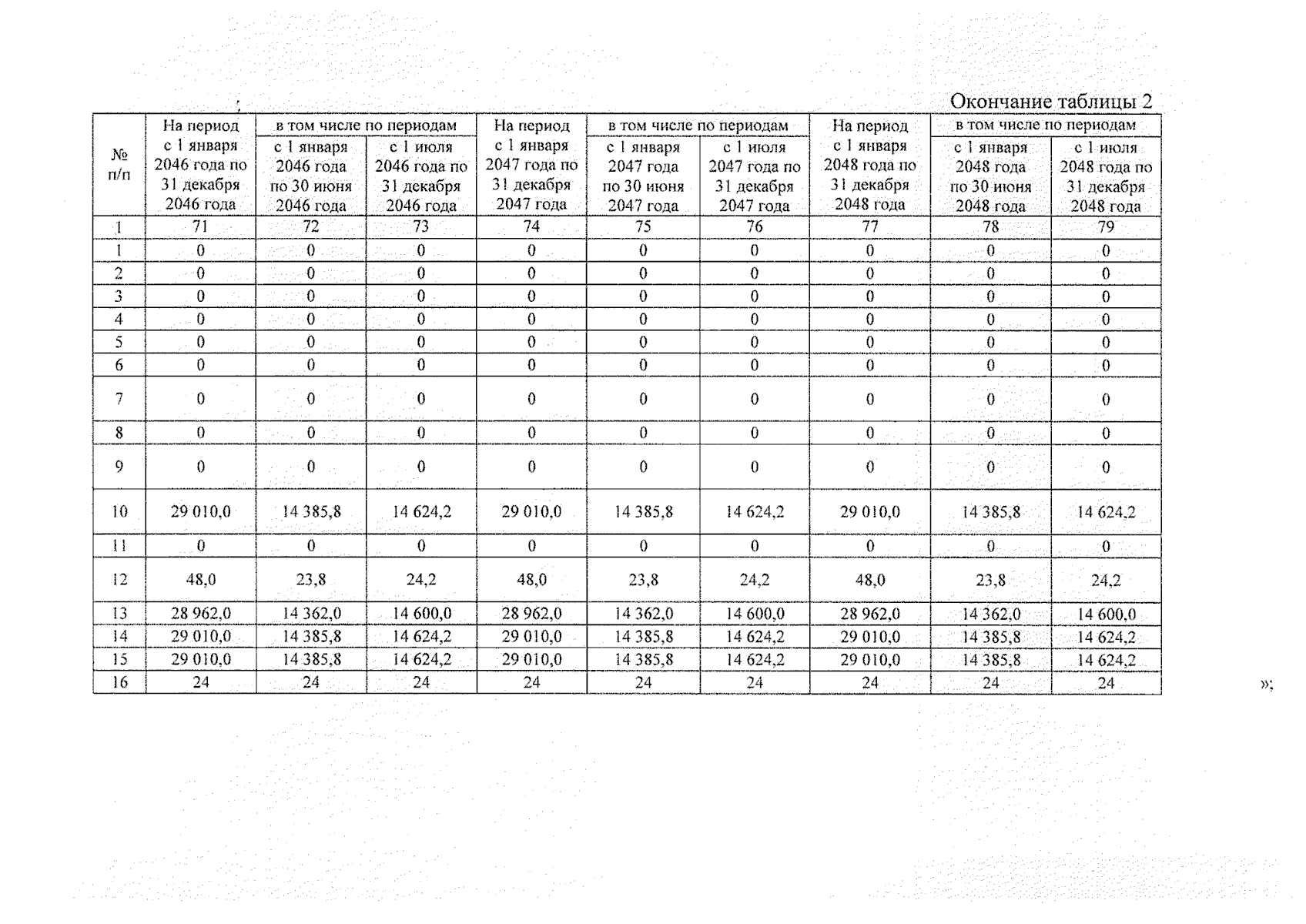
"О внесении изменений в постановление управления энергетики и тарифов Липецкой области от 30 мая 2023 года № 20/1 "О тарифах на водоотведение (в части очистки сточных вод) ООО "РВК-Липецк" (ИНН 7730263904) на период со 2 июня 2023 года по 31 декабря 2048 года"
(Зарегистрирован 15.12.2023 № ГР-360)
Номер опубликования: 4801202312210010
Дата опубликования: 21.12.2023
Страница №11 из 19:
Увеличить