Официальное опубликование правовых актов
ОФИЦИАЛЬНОЕ ОПУБЛИКОВАНИЕ
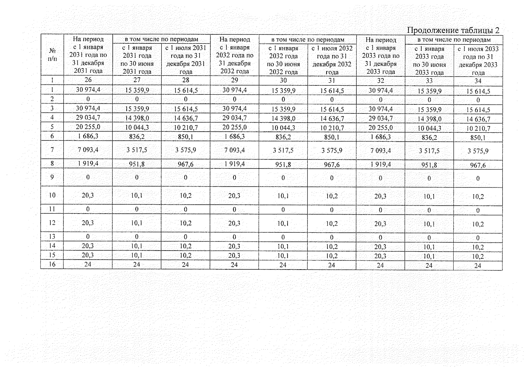
Постановление управления энергетики и тарифов Липецкой области от 13.12.2023 № 63/12
"О внесении изменений в постановление управления энергетики и тарифов Липецкой области от 27 июня 2023 года № 25/2 "О тарифах на водоотведение ООО "РВК-Липецк" (ИНН 7730263904) на период с 1 июля 2023 года по 31 декабря 2048 года"
(Зарегистрирован 15.12.2023 № ГР-361)
Номер опубликования: 4801202312210009
Дата опубликования: 21.12.2023
Страница №6 из 25:
Увеличить