Официальное опубликование правовых актов
ОФИЦИАЛЬНОЕ ОПУБЛИКОВАНИЕ
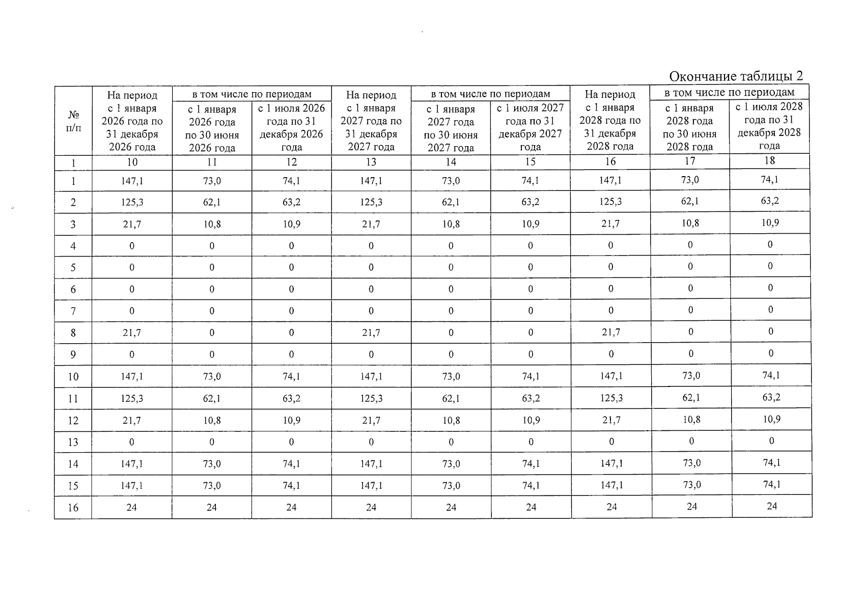
Постановление управления энергетики и тарифов Липецкой области от 12.12.2023 № 62/4
"О тарифах на водоотведение и долгосрочных параметрах регулирования ОАО "Лебедянский сахарный завод" (ИНН 4811005871) на 2024-2028 годы"
(Зарегистрирован 13.12.2023 № ГР-347)
Номер опубликования: 4801202312200018
Дата опубликования: 20.12.2023
Страница №5 из 9:
Увеличить