Официальное опубликование правовых актов
ОФИЦИАЛЬНОЕ ОПУБЛИКОВАНИЕ
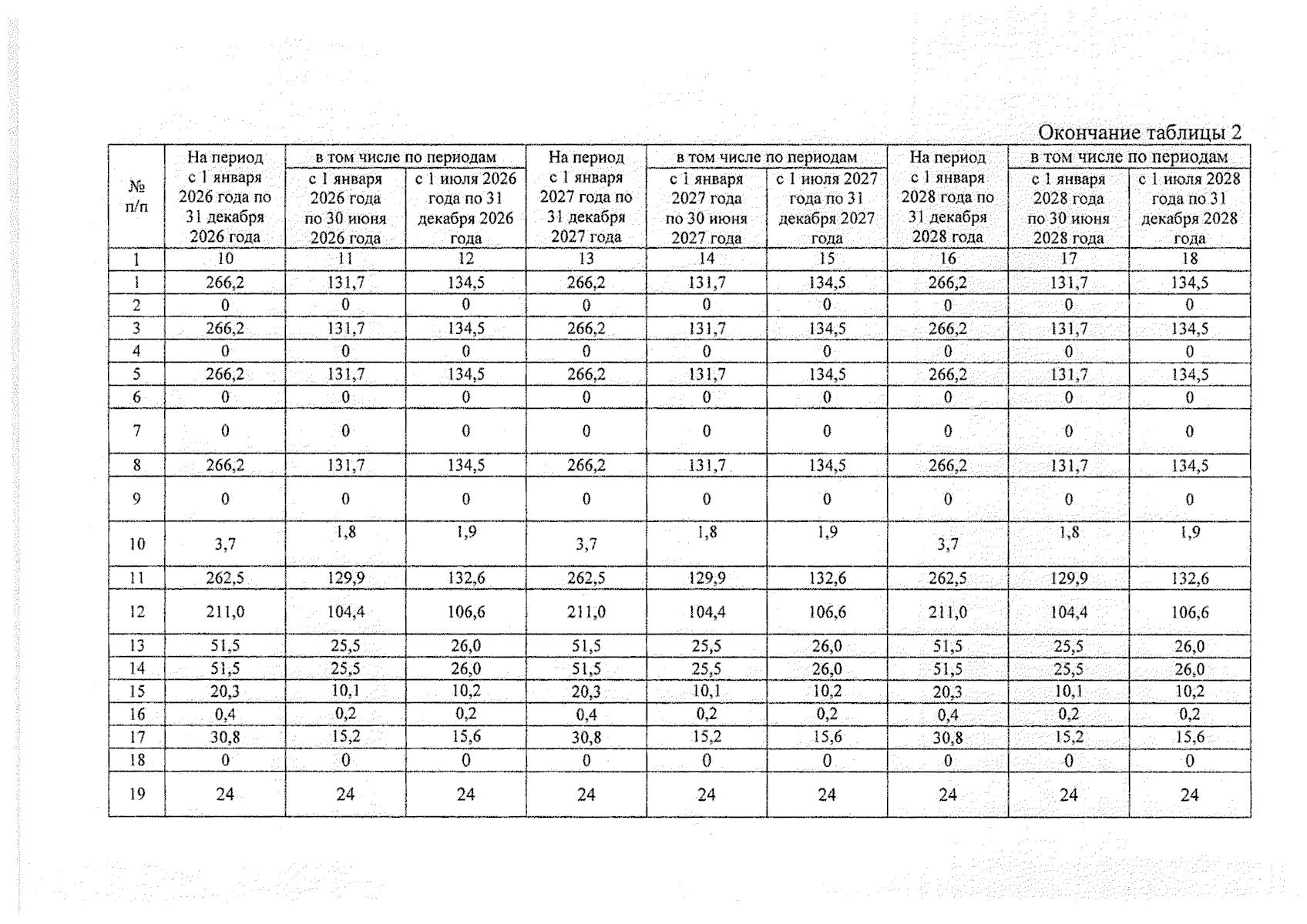
Постановление управления энергетики и тарифов Липецкой области от 11.12.2023 № 61/11
"О тарифах на питьевую воду и долгосрочных параметрах регулирования Государственного учреждения здравоохранения "Липецкая областная психиатрическая больница" (ИНН 4802002585) на 2024-2028 годы"
(Зарегистрирован 12.12.2023 № ГР-343)
Номер опубликования: 4801202312200012
Дата опубликования: 20.12.2023
Страница №6 из 10:
Увеличить