Официальное опубликование правовых актов
ОФИЦИАЛЬНОЕ ОПУБЛИКОВАНИЕ
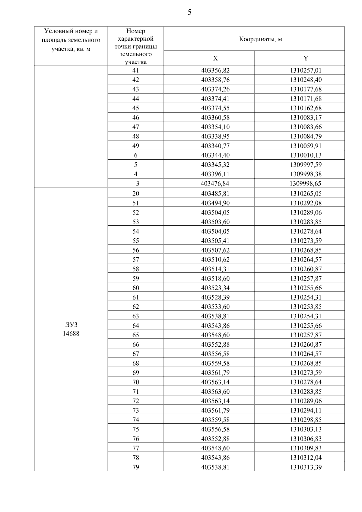
Приказ управления строительства и архитектуры Липецкой области от 09.11.2023 № 332
"Об утверждении проекта межевания территории в районе автодороги А133 и улицы Жуковского в с. Боринское сельского поселения Боринский сельсовет Липецкого муниципального района"
Номер опубликования: 4801202311140006
Дата опубликования: 14.11.2023
Страница №7 из 13:
Увеличить