Официальное опубликование правовых актов
ОФИЦИАЛЬНОЕ ОПУБЛИКОВАНИЕ
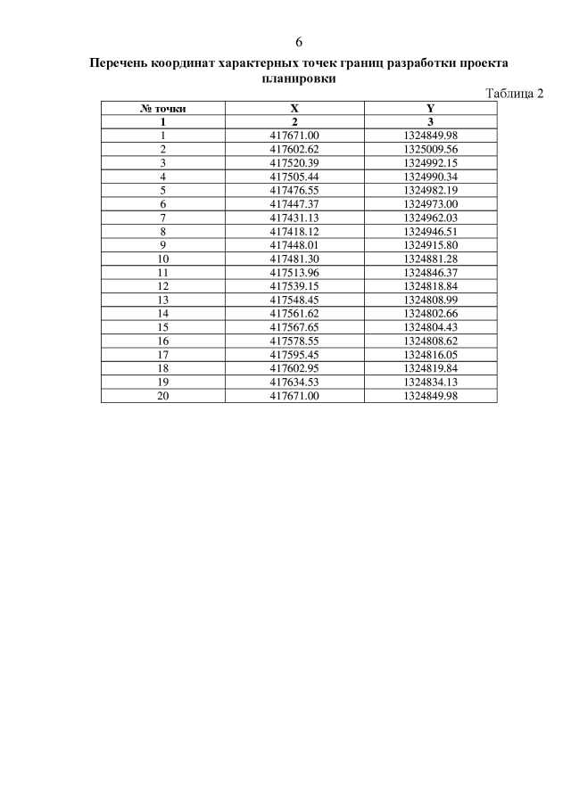
Приказ управления строительства и архитектуры Липецкой области от 02.05.2023 № 113
"Об утверждении документации по планировке территории (проект планировки и проект межевания) квартала, ограниченного улицами Неделина, Комсомольская, Кооперативная, Котовского в городе Липецке"
Номер опубликования: 4801202305050008
Дата опубликования: 05.05.2023
Страница №8 из 16:
Увеличить