Официальное опубликование правовых актов
ОФИЦИАЛЬНОЕ ОПУБЛИКОВАНИЕ
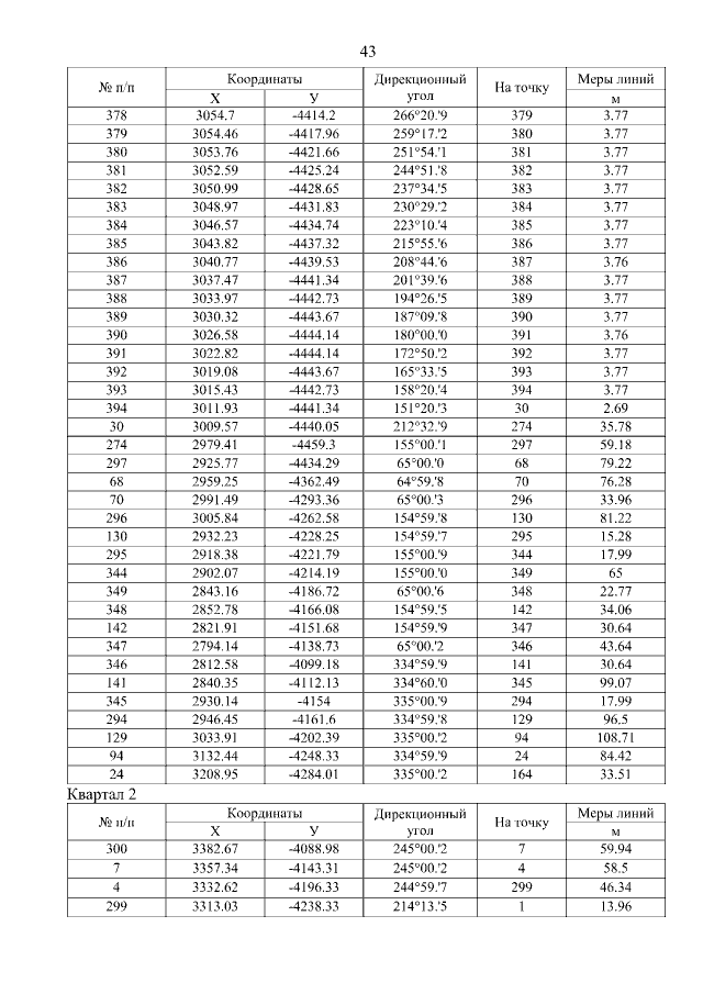
Приказ управления строительства и архитектуры Липецкой области от 15.02.2023 № 35
"Об утверждении проекта изменений в документацию по планировке территории (проект планировки и проект межевания) микрорайона, ограниченного улицами Виктора Музыки, Михаила Трунова, автомобильной дорогой Орел-Тамбов и Лебедянским шоссе в городе Липецке"
Номер опубликования: 4801202302210002
Дата опубликования: 21.02.2023
Страница №45 из 60:
Увеличить